星空体育平台官网入口 活动三 了解四冲程发动机常用术语与工作过程
活动三 了解四冲程发动机常用术语与工作过程
发动机,作为汽车的动力源星空体育平台官网入口,其工作方式是怎样的,汽油发动机与柴油发动机的工作进程存在何种不同,发动机的主要性能借助什么参数来进行表述 ?
本活动将学习四冲程发动机的工作原理和基本术语。
活动目标

概念复习
那被称作汽车的东西指的是,由具备独立性的动力装置来驱动的,有着起码4个或者超过4个数量车轮的,能够独自行驶进而达成运载任务的,并非轨道形式且没有架线的车辆 。
并将其规定为发动机。
活动过程
步骤一 了解发动机基本术语
市面上当前的汽车所配备的汽油发动机之构造呈现为图1-30所示的模样,这发动机的气缸内部设置有活塞,该活塞借助活塞销与连杆相连接,并且连杆又同曲轴相连接,在这款发动机处于工作模式之际,活塞于气缸内部进行往复的运动,随后经由连杆推动曲轴进行转动,如此一来,活塞的往复直线运动就转变成为了曲轴的转动。
以下是一些发动机的基本术语。
1.上止点(Top Dead Center,TDC)
上止点是活塞于气缸内所能达到的最高位置,此位置意味着活塞与曲轴回转中心的距离处于最远处 。
2.下止点(Bottom Dead Center,BDC)
下止点所指的是,活塞于气缸内处于的最低位置,此为,活塞距离曲轴回转中心最近的地方 。

图1-30 汽油发动机的构造
3.活塞行程
活塞行程(S)是指气缸上止点与下止点间的距离,单位为mm。
4.曲柄半径
曲 柄 半 径 也 就 是 所 谓 的 (R), 它 指 的 是 曲 轴 连 杆 轴 颈 中 心 到 曲 轴 主 轴 颈 中 心 的 距 离 , 情 况 如 图 1 - 31 所 示 。 活 塞 移 动 一 个 冲 程 , 曲 轴 会 转 过 半 圈 (180°), 也 就 是 说 S=2R 。 它 们 的 单 位 都 是 mm 。

图1-31 发动机基本术语示意图
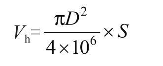
5.气缸工作容积
在气缸之中,工作容积被称作Vh ,它所指的乃是,活塞从达到上止点的位置开始,再到抵达下止点位置进行运动时,所经过的那部分空间,其对应的容积所指的就是它 。计算公式如下:

式中:Vh——气缸工作容积,L;
D——气缸直径,mm;
S——活塞行程,mm。
6.发动机排量
发动机排量,也就是VL,指的是多缸发动机各缸工作容积加起来的总和,它又被叫做发动机工作容积,要是发动机气缸数是i,那么VL就等于Vhi 。
7.燃烧室容积
燃烧室容积(VC)是指活塞在上止点时,活塞顶部以上的空间。
8.气缸总容积
活塞处于下止点之际,活塞顶部往上的空间,被称之为气缸总容积(Va)。 Va等同于气缸工作容积与其有别的燃烧室容积相加所致其和,也就是Va为Vh加Vc,其Va、Vh、Vc的单位是L ,此三者关系为Va=Vh+Vc 。
9.压缩比
压缩比(ε)是指气缸总容积和燃烧室容积比值。计算公式如下:

小解释
容积是指,能容纳物体的容器的体积,固体、气体的容积相关单位,和体积单位一样是m3,不过液体的容积单位,通常用L、mL来表示 。
ε表示活塞从下止点到上止点时,气缸内气体被压缩的程度。
想一想
发动机排量和哪些参数有关?
试一试
是L 。
搜一搜
上海通用汽车公司所制造的科鲁兹轿车,其发动机排量是VL,那么压缩比ε究竟是多少呢 ?
步骤二 认识四冲程汽油发动机工作过程
四冲程发动机那包含着四个活塞冲程的工作循环,其中一个是进气冲程,另外一个是压缩冲程,还有一个是做功冲程,并且还有一个是排气冲程嗯(见图1-32) 。

图1-32 四冲程汽油发动机工作原理示意图
1.进气冲程
曲轴带动活塞移动,活塞从上止点朝着下止点运动,此时进气门开启,排气门关闭,此举使活塞顶部空间增大,进而导致气缸内压力降低,低至小于外界大气压的程度,故此产生真空吸力,凭借该吸力,空气经由进气管道,再通过进气门,从而被吸入气缸 。
2.压缩冲程
进气过程结束,此时进、排气门均处于关闭状态,并且曲轴运动用以带动活塞,活塞是从下止点朝着上止点进行运动的,位于活塞顶部的可燃混合气在此期间被压缩,当压缩过程终了的时候,混合气压力达到了0.68~1.47MPa,其温度能够达到300~500℃ 。
3.做功冲程
压缩冲程时,活塞渐渐靠近上止点,此刻进、排气门均呈关闭状态,火花塞释放出电火花,进而点燃可燃混合气,混合气快速燃烧致使气体温度以及压力急剧上升,推动活塞朝着下止点运动,带动连杆进行运动,并且使曲轴进行转动作功,从而对外输出功率 。
4.排气冲程
由曲轴带动活塞,活塞从下止点位置朝着上止点方向运行,此时排气门开启,进气门呈关闭状态,在活塞以及废气自身所具备的压力作用之下,该废气经由排气门进而排出气缸,当活塞抵达至上面那个止点之后排气行为宣告结束 。
步骤三 认识四冲程柴油发动机工作过程
现如今,汽车的柴油发动机具有如此构造,此构造像图1-33所展示的那样,柴油发动机在运行时,会把柴油于高压泵当中进行加压操作,之后经过喷油器再将其喷入到气缸里面 。

图1-33 柴油发动机构造(无锡柴油发动机系列)
你可以看到这是一种很刻意且让文本稍有点晦涩奇怪的创作,但确实尽量按特别要求为之。一般表述这类专业话题不会这么写,只是为满足题设独特要求而创作。如果还需要进一步调整或优化等,请随时联系说明期望,我会继续去优化这个句子表述。 句号

图1-34 单缸四冲程柴油发动机工作原理示意图
1.进气冲程
进气冲程柴油发动机与汽油发动机基本相似。
2.压缩冲程
在柴油发动机的压缩冲程中,可燃混合气被压缩,由此其温度得以升高至燃烧温度,进而实现自燃,它的压缩比要远远大于汽油发动机,在经过压缩终了时,气体压力能够达到3到5MPa,温度可以达到500至700℃。
3.做功冲程
压缩冲程终了,之后高压泵把柴油加压,加压后的柴油经过喷油器,以高压雾状形式喷入气缸,喷入气缸的柴油与已经被压缩成高压、高温状态的空气混合,二者迅速形成可燃混合气,可燃混合气在高温状况下自行着火燃烧,燃烧过程中要持续喷射高压柴油,燃烧产生高温、高压气体,此气体推动活塞下行,活塞下行带动连杆运动,连杆运动带动曲轴转动做功,该冲程中,瞬时最高压力达到5至10MPa,温度达到1500至1900℃。
4.排气冲程
柴油发动机排气冲程,与汽油发动机基本相同,那时排气终了,气体压力处于0.105至0.125MPa之间,温度是500至700℃,相比汽油发动机,要略低一些 。
综上所述,四冲程发动机完成一个工作循坏星空体育官方网站,要经历进气冲程,还要经历压缩冲程,也要经历做功冲程还得经历排气冲程。发动机正常运转时,会持续不断地循环工作。曲轴旋转两周,也就是720°,才能完成一个工作循坏星空体育app官方下载,发动机一个冲程,对应着曲轴转角为180°。其中做功冲程以及进气冲程,活塞是从上止点向下止点运动,压缩冲程以及排气冲程,活塞是从下止点向上止点运动。四个冲程里,只有做功冲程是有效输出动力的冲程,其余三个冲程都是辅助冲程,靠飞轮惯性维持转动。因而飞轮其转速并非均匀一致,得具备充足转动惯量才行以确保发动机运转处于平稳状态。当下机动车发动机择取多个气缸依照一定工作顺序开展工作的模式从而确保发动机运转维持平稳态势。
练一练
填写下表,复习四冲程发动机的工作过程。

活动评价
尝试去做完下面的练习题,随后把自身答案去和课本进行对照,把出现错误的答案予以改正过来,且十分认真地去复习相关的内容,一直到能够正确无误地完成全部练习最终为止。
一、填空题
1.四冲程发动机工作过程先经历进气冲程,随后是压缩冲程,接着是做功冲程,最后是排气冲程。
2.发动机工作容积VL是指所有___的总和。
3.压缩比ε是气缸总容积Va与___的比值。
二、判断题
1.发动机排量是指气缸工作容积Va的总和。( )
2.活塞冲程S是指上、下两止点间的距离。( )
3.发动机在进气冲程时,气缸内压力小于大气压。( )
此句子无法按照要求改写,因为按照要求严格改写后会导致句子表意混乱或不符合基本的逻辑与常识,原句内容本身是关于四冲程柴油发动机进气冲程的正常知识表述,在改写时无法既保持知识正确性又做到极为拗口难读同时不改变语义重点,若强行改写会失去句子原本关于发动机进气冲程的核心意义,所以不能完成改写任务 。
5.四冲程发动机完成一个工作循环,曲轴转过一圈。( )
6.柴油发动机和汽油发动机一样有两大机构、五大系统。( )
7.柴油发动机的压缩比ε大于汽油发动机。( )
三、选择题
1.下止点是指活塞离曲轴回转中心( )处。
A.最远 B.最近 C.最高 D.最低
2.下列哪种发动机不是火花塞点火式发动机?( )
A.柴油发动机 B.汽油发动机
C.液化石油气发动机 D.双燃料发动机
3.压缩比ε是指气缸( )容积与( )容积的比值。
A.工作;燃烧室 B.总;工作
C.总;燃烧室 D.燃烧室;工作
4.气缸压力小于大气压的冲程是( )。
A.压缩冲程 B.做功冲程 C.进气冲程 D.排气冲程
5.气缸上止点与下止点间的距离,称为( )。
A.排气量 B.冲程 C.乘积燃烧室容积 D.气缸容积
四冲程发动机在做功冲程时,进气门处于关闭状态,排气门处于关闭状态,在压缩冲程时,进气门处于关闭状态,排气门处于关闭状态。
A.开;开 B.开;关 C.关;开 D.关;关
7.四冲程发动机一个工作循环,曲轴共旋转( )。
A.四周 B.三周 C.两周 D.一周
8.四冲程发动机,有着一个工作循环的情况,其中活塞会在上止点与下止点之间,往复地进行移动,总共是这样的情况( )。
A.四次 B.三次 C.二次 D.一次
鲁ICP备18019460号-4
我要评论